
検索サイトから来た方は… 無線工学の基礎 トップへ
以下をクリックすると、元のページが行き先に飛び、このウインドウは閉じます
|
|
■ 無線工学を学ぶ
|
(1) 無線工学の基礎
|
年度別出題一覧
|
|
H11年 4月期,8月期,12月期
|
|
H12年 4月期,8月期,12月期
|
|
H13年 4月期,8月期,12月期
|
|
H14年 4月期,8月期,12月期
|
|
H15年 4月期,8月期,12月期
|
|
H16年 4月期,8月期,12月期
|
|
H17年 4月期,8月期,12月期
|
|
H18年 4月期,8月期,12月期
|
|
H19年 4月期,8月期,12月期
|
|
H20年 4月期,8月期,12月期
|
|
H21年 4月期,8月期,12月期
|
|
H22年 4月期,8月期,12月期
|
|
H23年 4月期,8月期,12月期
|
|
H24年 4月期,8月期,12月期
|
|
H25年 4月期,8月期,12月期
|
|
H26年 4月期,8月期,12月期
|
|
H27年 4月期,8月期,12月期
|
|
H28年 4月期,8月期,12月期
|
|
H29年 4月期,8月期,12月期
|
|
H30年 4月期,8月期,12月期
|
|
R01年 4月期,8月期,12月期
|
|
R02年 4月期,9月期,12月期
|
|
R03年 4月期,9月期,12月期
|
|
R04年 4月期,8月期,12月期
|
|
R05年 4月期,8月期,12月期
|
|
R06年 4月期,8月期,12月期
|
分野別出題一覧
|
|
A 電気物理, B 電気回路
|
|
C 能動素子, D 電子回路
|
|
E 送信機, F 受信機
|
|
G 電源, H アンテナ&給電線
|
|
I 電波伝搬, J 計測
|
|
|
■ サイトポリシー
|
|
■ サイトマップ[1ama]
|
|
■ リンクと資料
|
|
■ メールは下記まで

|
|
| 2025年 |
| 03/31 R06/12月期問題頁掲載 |
| 03/31 R06/08月期問題頁掲載 |
| 03/31 R06/04月期問題頁掲載 |
| 03/31 R05/12月期問題頁掲載 |
| 03/31 R05/08月期問題頁掲載 |
| 03/31 R05/04月期問題頁掲載 |
|
| 無線工学 > 1アマ > R04年08月期 > A-04 |
| A-04 |
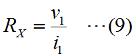
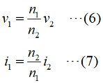
次の記述は、図に示す変成器Tを用いた回路のインピーダンス整合について述べたものである。[ ]内に入れるべき字句の正しい組合せを下の番号から選べ。
|
|
| (1) |
Tの二次側に、RL [Ω]の負荷抵抗を接続したとき、一次側の端子abから負荷側を見た抵抗Rabは、Rab=[A][Ω]となる。 |
| (2) |
交流電源の内部抵抗をRG [Ω]としたとき、RLに最大電力を供給するには、Rab=[B][Ω]でなければならない。 |
| (3) |
(2)のとき、RLで消費する最大電力の値Pmは、Pm=[C][W]である。 |
|
|
|
|